KERTAS 1
Soalan 1

Jawapan 1

Soalan 2

Jawapan 2

Soalan 3

Jawapan 3

Soalan 4

Jawapan 4

Soalan 5

Jawapan 5

Soalan 6

Jawapan 6

Soalan 7

Jawapan 7

Soalan 8

Jawapan 8


Soalan 9

Jawapan 9

Soalan 10

Jawapan 10

Soalan 11

Jawapan 11

KERTAS 2
Soalan 1

Jawapan 1


Jawapan 2


Soalan 3

Jawapan 3


Soalan 4

Jawapan 4


Soalan 1


Soalan 2

Jawapan 2

Soalan 3

Jawapan 3

Soalan 4

Jawapan 4

Soalan 5

Jawapan 5

Soalan 6



Jawapan 7

Soalan 8

Jawapan 8


Soalan 9

Jawapan 9


Jawapan 10

Soalan 11

Jawapan 11

SOALAN-SOALAN SPM
SPM2019K1S13
SPM2019K1S14
Jawapan
Soalan 1

Jawapan 1

Soalan 2

Jawapan 2


Soalan 3

Jawapan 3


Soalan 4

Jawapan 4





































Cikgu apa jawapan untuk soalan no.14 cg?
BalasPadammaaf cg...soalan no.10
PadamSaya telah sediakan jawapan untuk Soalan 10
PadamTerima kasih.
Apa jawapan no.14 a).
BalasPadamSaya telah sediakan jawapan untuk Soalan 14.
PadamTerima kasih.
Maaf cg,apakah jawapan bagi soalan spm 2019 kertas 1 soalan no 14
BalasPadamSaya telah sediakan jawapan untuk soalan SPM 2019 Kertas 1 Soalan 14.
PadamTerima kasih.
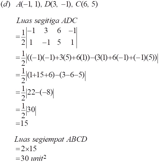
soalan 4 (c) jawapan salah, D should be (3,-1)
BalasPadamSaya mengucapkan ribuan terima kasih atas teguran saudara.
PadamIni adalah kelemahan saya.
Saya telah membuat pembetulan untuk jawapan 4(c) dan 4(d).